qPCR檢測
實時熒光定量PCR (Quantitative Real-time PCR)是一種研究基因表達量的重要方法,利用熒光信號的變化實時監測PCR擴增反應中每一個循環擴增產物量的變化,通過Ct值和標準曲線的關系對起始模板進行定量分析。
qPCR重要參數
? 擴增曲線
qPCR反應開始時,熒光信號不穩定,呈現波動狀態,隨后信號會趨于穩定并且呈現指數性增長,到達一定循環數之后,熒光信號強度不再增加,持續穩定。
擴增曲線展現出來為一條S型曲線,包括:基線期,指數擴增期,平臺期。反應完成后,qPCR儀會以基線期熒光信號標準偏差的10倍生成一條閾值線,閾值線與擴增曲線產生交點,交點對應的橫坐標代表Ct值,Ct值的含義代表每一個反應體系中熒光信號強度達到閾值時經歷的擴增循環數,其本質不難看出就是循環數,它是熒光定量中唯一用于后續計算的數值,是后續定量計算的基礎。

? 熔解曲線
熔解曲線是指隨著溫度升高,反映DNA的雙螺旋結構降解程度的曲線。擴增反應完成后,通過逐漸增加溫度同時監測每一步的熒光信號來產生熔解曲線,熔解溫度上有一特征峰(Tm,DNA雙鏈解鏈50%的溫度),用這個特征峰就可以將特異性產物與其它產物如引物二聚體區分開。

qPCR定量方法
定量方法包括相對定量和絕對定量,兩者的重要差異在于相對定量的結果是差異性的結果,涉及比較;而絕對定量的結果是一個具體數值,對于基因表達量而言是基因的拷貝數,不涉及任何比較。
? 相對定量
首先需要確定一個內參基因,常用的內參基因包括GAPDH、β-actin、18S rRNA,其本質作用是利用內參基因的Ct值對目的基因的Ct值進行均一化處理。其次,相對定量需要確定參照物,參照物選擇不同,所得的定量結果可能完全相反,經常選擇的參照物一般是對照組或未處理組。
? 絕對定量
首先需要建立Ct值和拷貝數之間的線性關系,即標準曲線,由標準品生成。標準品中基因序列要與待測樣品中基因序列一致,從而保證引物在兩者中擴增效率完全相同。標曲是由不同梯度標準品生成,落在標曲上的梯度點最好有5個及以上,標準品和待測樣品同時反應,將待測樣品檢測的Ct值代入標曲后即可換算出待測樣品中基因的拷貝數。
qPCR檢測方法
qPCR最常用的兩種檢測方法分別為SYBR Green染料法和TaqMan探針法。
? SYBR Green染料法
在PCR反應體系中,加入過量SYBR Green熒光染料,其特異性地摻入DNA雙鏈后,發射熒光信號,而不摻入鏈中的熒光染料分子不會發射任何熒光信號,從而保證熒光信號的增加與PCR產物的增加完全同步。
SYBR Green染料法需要注意引物的特異性,因為非特異擴增產物和引物二聚體均為dsDNA,所以該方法只能通過引物來保證特異性。

全式金推出的PerfectStart? Green qPCR SuperMix采用PerfectStart? Taq熱啟動酶,采用3種抗體封閉,有效地封閉了DNA聚合酶活性,阻止了低溫下的非特異性擴增。
● 產品特點
? 3種抗體封閉,特異性高,靈敏度高,擴增效率強,適用物種范圍廣。
? 雙陽離子緩沖液,增強特異性,減少引物二聚體形成,數據準確。
? 配有適用于不同機型的Universal Passive Reference Dye (調整PCR加樣誤差引起的管間差異),數據準確。
● 3種抗體封閉原理圖

● 擴增效率
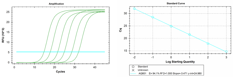
以梯度稀釋的質粒DNA (10 ng-0.1 pg,10倍稀釋 ) 為模板進行qPCR擴增。結果顯示,TransGen產品擴增效率較高,可得到漂亮的擴增曲線和標準曲線。

● 無NTC擴增基因數量統計
使用TransGen與Company T的產品,擴增58個基因 (9個人的基因,7個小鼠的基因,17個水稻的基因,8個煙草的基因,4個擬南芥的基因,10個小麥的基因,3個玉米的基因)。無NTC擴增基因數統計。結果顯示,TransGen產品無NTC擴增基因數高于Company T,擴增效果更佳。

● 擴增靈敏度
以500 ng的人源RNA反轉錄(TransGen, AT311)后得到的cDNA為模板梯度稀釋,分別使用TransGen與Company T產品擴增β-actin (NTC無擴增 )。結果顯示,TransGen產品擴增靈敏度與Company T產品基本一致。

● 不同物種模板擴增
以不同物種的RNA反轉錄(TransGen, AT311)后得到的cDNA為模板分別使用TransGen與Company T的產品進行擴增(NTC無擴增)。結果顯示,TransGen產品擴增效果與Company T產品基本一致。

● 產品穩定性
不同溫度保存及反復凍融處理后TransGen產品仍可穩定擴增。

? TaqMan探針法
PCR反應開始時,模板鏈經熱變性解鏈形成單鏈,TaqMan探針和引物依次退火到模板上進行鏈的延伸,延伸過程中Taq酶發揮5’-3’外切酶活性,遇到探針會從5’端逐個堿基切除探針,發光基團和淬滅基團分開,因此熒光檢測系統可以接收到熒光信號,每擴增一條DNA鏈,就有一個熒光分子形成,熒光信號的累積和PCR產物形成是同步的。

全式金推出的PerfectStart? II Probe qPCR SuperMix UDG利用在PCR體系中加入熒光探針(TaqMan或Molecular Beacon等),在擴增過程中其熒光量與擴增產物量成正比,最終通過熒光量的檢測測定樣本核酸量。
● 產品特點
? 3種抗體封閉,特異性高,靈敏度高,擴增效率高。
? 特殊優化的qPCR反應緩沖液,可提供更高的靈敏度和特異性。
? 使用UDG酶和dUTP,有效防止PCR產物污染,數據準確。
? 配有適用于不同機型的Passive Reference Dye (調整PCR加樣誤差引起的管間差異),數據準確。
? 適用范圍廣,已成功用于非洲豬瘟病毒、偽狂犬病病毒、哈維氏弧菌、蝦肝腸胞蟲和副溶血性弧菌等檢測。
? 穩定性好,在反復凍融、預混液、常溫、37℃等條件下保存,均可穩定擴增。
? 提供可凍干版本。
● 多重PCR檢測
以牛病毒性腹瀉病毒(BVDV) cDNA、豬藍耳病病毒(PRRSV) cDNA、非洲豬瘟病毒(ASFV)質粒、偽狂犬病病毒(PRV)gDNA混合物為模板,進行qPCR檢測。結果表明,TransGen產品可進行4重檢測。

● 高靈敏度、高擴增效率
分別以不同濃度豬藍耳病病毒(PRRSV) cDNA(10 pg、0.1 pg、0.01 pg)及不同濃度牛病毒性腹瀉病毒(BVDV) cDNA(100 pg、1 pg、0.1 pg)為模板,使用TransGen、Company V、Company T產品進行qPCR檢測。結果表明,TransGen產品靈敏度可達0.1 pg,擴增效果優于Company V與Company T。

● 適用范圍廣
TranGen產品可成功對不同濃度(107 copies/ml-104 copies/ml,10倍稀釋)的哈維氏弧菌、蝦肝腸胞蟲和副溶血性弧菌DNA進行檢測。

● 穩定性好
?批次穩定性
使用不同批次的TransGen產品進行單重、四重qPCR檢測。結果表明,TransGen產品可保障穩定的批次重復性。


?凍融穩定性
使用5、10、15、20次反復凍融保存處理后的TransGen產品分別進行單重、四重qPCR檢測。結果表明,反復凍融后TransGen產品性能不受影響,仍可穩定擴增。


?預混穩定性(單重)
將單重、雙重、三重檢測基因的引物探針與TransGen產品進行預混,并在不同溫度處理7天后進行qPCR檢測,結果表明,TransGen預混液在不同溫度保存后仍可穩定擴增。



相關產品推薦


